479最爱招的艺体特长到底有哪些?
选好了,说不定你家娃就是那个低分进名校的幸运儿。
跟随敏敏老师一起来了解一下吧!

正文之前,先科普3点:
1.本文“艺体特长生”针对哪个学段?
本文特指成都初升高艺体特长生,并非幼升小、小升初甚至高考艺体。
2.初升高艺体特长生是否会取消?
目前无任何消息,麦田预计短时间内成都初升高艺体特长生不会取消,而成都的小升初艺体特长生则早在2020年就已经全面取消。
3.有艺体特长中考能否加分?
不能!2019年开始,成都中考全面取消了科技类、体育类、艺术类以及少数民族考生加分,仅保留了以下“6大类加分”。

(2023成都中考加分政策)

言归正传,目前成都中考主要的升学途径有指标到校生(市级指标&区指标为主)、艺体特长生、硬拼中考成绩和各类项目班这四大类别,而艺体特长生就是其中一条。
作为追捧度较高的升学途径,简单来说,艺体特长生就是读5+2区优质重高的一大捷径和机会,如果孩子有某项艺术或体育特长,则可以提前了解,而且目前5+2区绝大部分重高学校都要招收艺体特长生。

(2023年艺体特长生报名条件)
它最大的升学优势就在于,对文化成绩的要求比直接通过中考成绩硬考同一所学校要低很多,也就能帮助同学们实现“低分进名校”,或者说能起到“锦上添花”、“雪中送炭”的作用。

成都公办高中NO.1七中林荫,2023年中考统招录取分数线为649分,而参加该校艺体特长生对文化分数的最低要求仅需达到573分/563分(艺术类要求达到5+2区重点线上20分、体育类要求达到5+2区重点线上10分)。足足80分左右的差距,这个降分优势就非常明显。

2023年成都七中高中艺体特长生
录取最低分数要求和调档分构成

那么,到底479三校七区最爱招的艺术和体育特长是什么呢?
一、479最爱招的艺术特长
NO.1成都七中
成都七中目前共有2个校区,林荫本部和分校区七中高新。
七中林荫,今年艺术类特长一共招了6门,其中招收人数最多的则是西洋管乐22人,最终该项目的第一志愿共报名了65人,一志愿录取率约33.8%。

(2023七林艺体招生计划)



(2023七林西洋管乐一志愿预录名单)
七中高新,今年艺术类特长一共招了7门,其中招收最多的是西洋弦乐12人,最终该项目第一志愿一共报名了32人,一志愿录取率约37.5%。

(2023七高艺体招生计划)


(2023七高西洋弦乐一志愿预录名单)
NO.2树德中学
树德中学,又称成都九中,目前共有三个校区,树德宁夏(本部)和两个分校区树德光华、树德外国语。
树德宁夏,今年艺术特长共招了10门,其中招收最多的是声乐6人,最终第一志愿报名了12人。同时,民乐也是九系学校的一大特色,比如民族弦乐、民族弹拨乐今年招的也挺多,各5人。

(2023九宁艺体招生计划)

(2023九宁声乐一志愿预录名单)
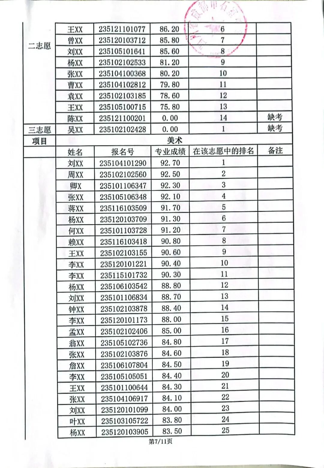
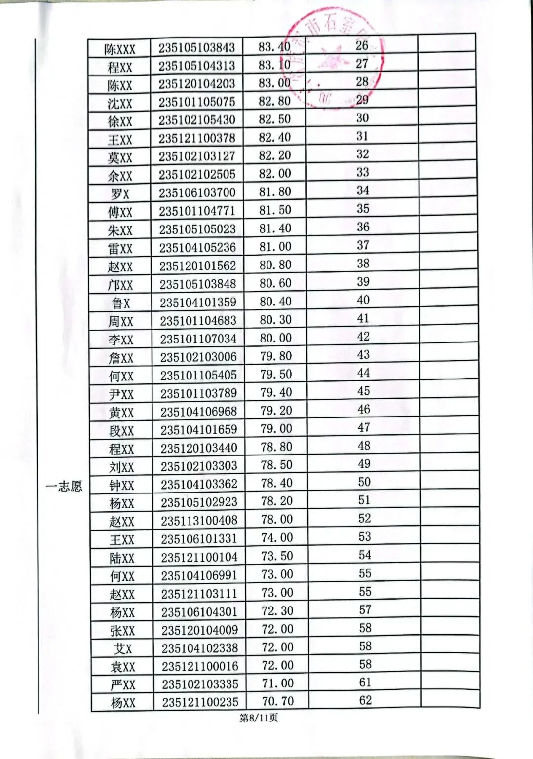
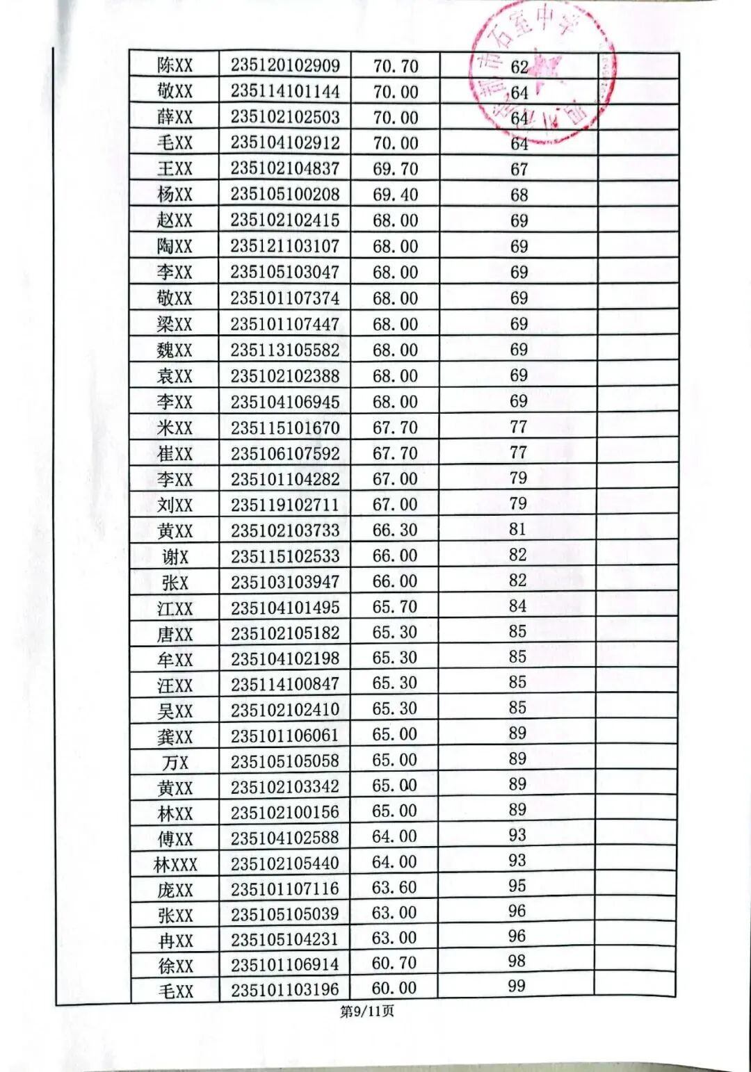
树德光华,今年艺术特长也招了10门,其中招收最多的是美术19人,最终第一志愿共报了139人,2人缺考,一志愿录取率约13.9%,竞争还是非常激烈。

(2023九光艺体招生计划)




(2023九光美术一志愿预录名单)
树德外国语,今年各项目的招收人数比较均衡,没有特别突出的,其中招收最多的三门是声乐、民族弹拨乐和美术各5人,最终第一志愿报名人数分别是声乐10人、民族弹拨乐16人、美术21人,一志愿录取率依次为50%、31.3%、23.8%。

(2023九外艺体招生计划)

(2023九外声乐一志愿预录名单)


(2023九外民族弹拨乐一志愿预录名单)

(2023九外美术一志愿预录名单)
NO.3石室中学
石室中学,又称成都四中,目前共有2个校区,本部文庙校区和分校区石室北湖。
石室文庙,今年的艺术特长一共招收了7门,其中招收最多的是西洋弦乐18人,最终第一志愿共报名了33人,一志愿录取率为54.5%。

(2023四文艺体招生计划)


(2023四文西洋弦乐一志愿预录名单)
石室北湖,今年的艺术特长一共招收了7门,其中美术招生最多12人,北湖的美术则有99人报名,相比之下北湖的美术竞争就非常激烈。

(2023四北艺体招生计划)



(2023四北美术一志愿预录名单)
二、479最爱招的体育特长
除了艺术特长,479最爱招的体育特长又是什么呢?麦田继续来揭秘。
NO.1成都七中
七中林荫,今年只招收了2门体育特长,男子排球5人、田径2人,最终男子排球第一志愿报了21人(4人弃考),一志愿录取率为29.4%;田径第一志愿报了15人(2人弃考),一志愿录取率为15.4%。

(2023七林男子排球一志愿预录名单)

(2023七林田径一志愿预录名单)
七中高新,今年只招收了两门体育特长,体育舞蹈2人和健美操3人,占总艺体招生计划的14.3%,最终第一志愿分别报名了6位同学。

(2023七高体育舞蹈一志愿预录名单)

(2023七高健美操一志愿预录名单)
NO.2树德中学
树德宁夏,今年在体育特长上只招了羽毛球这一个类别,其中男子羽毛球2人、女子羽毛球4人,最终第一志愿分别报了2人和8人。

(2023九宁男子羽毛球一志愿预录名单)

(2023九宁女子羽毛球一志愿预录名单)
树德光华,今年体育特长共招了3门,其中招收最多的是男子足球7人,最终第一志愿一共报名了35人(1人缺考),一志愿录取率为20%。

(2023九光男子足球一志愿预录名单)
树德外国语,今年它在体育特长上也只招了男子羽毛球2人,而且非常意外的是,第一志愿没有一个同学报名,最终只在二、三志愿分别报了2人,其他则全部招的是艺术特长。

(2023九外男子羽毛球一志愿预录名单)
NO.3石室中学
石室文庙,今年招收最多的体育特长项目是模型(车模)8人,最终第一志愿报名了27人,一志愿录取率约29.6%。


(2023四文车模一志愿预录名单)
石室北湖,今年招收最多的体育特长是男子足球10人,最终第一志愿一共报名了33人,一志愿录取率为30.3%。

(2023四北男子足球一志愿预录名单)
不难看出,在招收艺体特长生上,479的绝大部分招生计划还是放在了艺术特长上,而体育特长的类别和招生计划确实要少一些。
同时,从往年报名情况和预录名单来看,479的艺体特长生并没有大家想象中的难度那么大,“人满为患”的传言也可以直接辟谣了。

而之所以在文章中并没有重点提及各项目第二、三志愿的报名人数,原因在于:
从多年的艺体录取情况来看,在第一志愿报名人数较多的情况下,基本上都轮不到二、三志愿,除非一志愿报名人数少或最终一志愿符合录取条件的学生不够,才有机会轮到二志愿,二志愿仍未录取满额才会轮到三志愿。
“志愿优先”录取规则
(1)艺体特长生(第5类)录取时,在专业测试成绩、中考成绩均达到最低分数要求且未被前面各类录取的考生中,分专业按志愿优先的原则,依据调档分进行投档录取:先从第一志愿考生中按调档分从高到低的顺序进行投档,若第一志愿符合条件的考生小于计划数,再从第二志愿考生中按调档分从高到低的顺序进行投档,第二志愿仍未满额,再从第三志愿考生中按调档分从高到低的顺序进行投档,若所有志愿符合条件的考生全部录取后仍未完成计划的,不再降分录取。
(2)在投档过程中若出现相同调档分考生而超出计划数的,按专业测试成绩从高到低排列,若此分数也相同,则按考生语文、数学、英语三科升学分之和从高到低排列;若此分数也相同,则按语文、数学、英语、物理四科B卷成绩之和从高到低排列;若此分数也相同,则按体育成绩从高到低排列;若再相同,由学校研究后处置。

所以,虽然艺体特长生每位同学可以填报三个志愿,但其实第一志愿依然是最最最重要的,尤其是像479这类热门名校,报名第一志愿的同学已经那么多,你觉得轮到二、三志愿录取的概率又有多大呢?

除此之外
下面这三所479学校
还要单独招收体育特长班
千万不要错过!
七中高新,每年会面向全市招收一个校园足球班20人,仅限初三男生。在今年学校公布的拟录取名单中共有10人上榜,也就表明其招生计划并未用完。

石室文庙,每年会面向全市招收一个排球预备队12人,仅限初三女生。

树德光华,每年会面向全市招收一个篮球预备队10人,仅限初三男生。在今年学校公布的拟录取名单中共有9人上榜,也就未完成其招生计划。


但要注意,体育特长班≠艺体特长生,二者的招生范围、报名方式、录取顺序、招收学校等的都不同。
体育特长班属于项目班的一种,是部分学校可用于自主招生的途径,在选拔上也比艺体特长生更为灵活。
更多初升高信息欢迎大家扫码添加【敏敏老师】,加入敏敏老师高考交流群!

扫码加"敏敏老师"微信
备注孩子姓名+年级进入年级微信群
声明:敏敏老师所推送文章,除非确实无法确认,我们都会注明作者和来源。部分文章推送时未能与原作者取得联系。若涉及版权问题,烦请原作者联系我们,我们会在24小时内删除处理,谢谢!^_^